De Mils A Micras
Disponible incoloras en 100 175 200 300 y 375 micras incoloras. Advertencia mil no es lo mismo que micras o micrómetros.

Conversion De Micrometros µm A Milimetros Mm µm A Mm Youtube
3 Micrómetros 0003 Milímetros.

De mils a micras. La micra es igual a 0000001 metros mientras que el milímetro equivale a. Cómo convertir micras a milímetros El micra y el milímetro son ambas medidas pequeñas de la distancia en el sistema métrico. En 1955 Chipre adoptó el sistema decimal. Revise las imágenes de los productos para tener una mejor idea de su compra. 4 Mil Clear 8 Mil Clear 15 Mil Clear 7 Mil Clear 12 Mil Clear 4 Mil Clear Xtra 4 Mil PolyZone Xtra 7 Mil Clear Xtra PZ Láminas de aplicación exterior tanto para vidrios como para sustratos de policarbonato o Plexiglas. En el mecanizado donde el mil a menudo se trata como una unidad básica 00001 pulgadas 254 micrómetros se pueden denominar un décimo que significa un décimo de un mil o un diez milésimo.
500000 Micrómetros 1968504 Milésimas de pulgada. La micra es más comúnmente llamada el micrómetro. The mil is also referred to as thou. 15 mil thou 15 254 µ 381 µ. Aquí encontrará vendedores con amplia experiencia en ventas. μm Micrómetros em Estádios.
Notes for 250 mils ceased production in 1982 shortly before the cent was introduced. How many mil in 1 microns. Además los precios suelen ser de ganga y el servicio es bueno. Traducción de mils en español. 1000000 μm 1 m Por lo tanto 1000 μm 1 mm Qué diferencia hay entre micrómetro micra y micrón. 2500 Micrómetros 25 Milímetros.
A micron is a small metric unit of measure that denotes length or width. 1 mil thou 254 µ 1 µ 00393700787 mil thou. Para convertir mil a micras el factor de conversión utilizado es 254. 8 Micrómetros 0315 Milésimas de pulgada. The answer is 0039370078740157. Si desea convertir un indicador a mil divida la medida del indicador por 100.
Pertenece en la categoría Longitud A otras unidades Tabla de conversión Para tu web. 9 Micrómetros 03543 Milésimas de pulgada. Es equivalente a 1 millonésima parte de un metro 1 μm 0000 001 m 10-6 m. The answer is 0039370078740157. 500 Micrómetros 19685 Milésimas de pulgada. Además cuando se instalan en ventanas de automóviles.
Mil or microns The SI base unit for length is the metre. Popular Length Unit Conversions. Micron The micron µ is a unit of length that is equivalent to 10 -6 m one millionth of a meter. Una micra o micrómetro es otro submúltiplo de la unidad de medida metro y corresponde a una millonésima parte de dicha unidad. 250000 Micrómetros 984252 Milésimas de pulgada. Celebrity Reflection barco crucero en el Puerto de Miami.
Que son las Micras de espesor o mils. Más acerca de longitud y distancia. Mils a micras detalles del producto así como detalles de la empresa y verifique si han sido reconocidos con certificaciones. Residencial Comercial y Automóviles Además de brindar protección y blindaje adicionales nuestras Láminas de Seguridad TechFilms ayudan a disuadir los ataques vandálicos como también retrasando los intentos de un posible ladrón o frustrando sus esfuerzos por completo. The closest unit to the mil in the metric system is the micrometer. Note that rounding errors may occur so always check the results.
It is infact an alternate name for micrometer. Escriba la cantidad que desea convertir y presione el botón convertir. Si desea convertir un calibre en mil divida la medición del indicador por 100. Convertir Milésimas de pulgada a Micrómetros mil μm Milésimas de pulgada a Micrómetros Precisión. You can view more details on each measurement unit. 2 Micrómetros 0002 Milímetros.
La producción de billetes de 250 mils cesó en 1982 poco tiempo después de introducirse el céntimo. Mucho se habla de micras a la hora de catalogar el espesor de las láminas de seguridad pero la verdad es que hay una mala costumbre en su uso que a continuación detallaré. 10 Micrómetros 001 Milímetros. Convertidor de piepulgada y metro. Su longitud es de 1047 pies o 319 m. Para qué se utilizan estas unidades de medición.
Por ejemplo 2 mil es igual a 508 micrones. Charle con ellos en línea y contáctelos directamente para encontrar el más. 1000 Micrómetros 393701 Milésimas de pulgada. We assume you are converting between mil and micron. La comparación métrica se analiza a continuación. MILS or MICRONS The SI base unit for length is the metre.
Dígitos decimales Convertir de Milésimas de pulgada a Micrómetros. 4 Mil 100 Micras Usos. Advertencia Mil no es lo mismo que micrón o micrómetro. Mils a micras con garantía. How to Convert Mil to Micron. A mil is equal to one-thousandth of an inch.
You can view more details on each measurement unit. Cyprus decimalized in 1955 with 1000 mils μιλς mil to the pound. Su símbolo es μm. 1 metre is equal to 39370078740157 MILS or 1000000 MICRONS. Si desea convertir mil a un indicador multiplique por 100. Revise la lista de proveedores y experiencias previas de compradores.
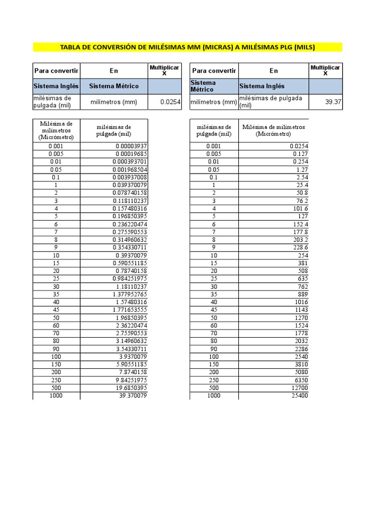
Estádios em Micrómetros μm. One mil is equal to 254 µm. La micra es extremadamente pequeña tan pequeña para ser vista a simple vista. TABLA DE CONVERSIÓN DE MILÉSIMAS MM MICRAS A MILÉSIMAS PLG MILS Multiplicar Multiplicar Para convertir En X Para convertir En X Sistema Sistema Inglés Sistema Métrico Sistema Inglés Métrico milésimas de milésimas de pulgada milímetros mm 00254 milímetros mm 3937 pulgada mil mil. Why Packaging Thickness is Important. 20 Micrómetros 002 Milímetros.
How many MILS in 1 MICRONS. Mils a micras que pueden funcionar varias horas seguidas. 1 micron μ 00393700787401575 mil mil thou De. A mm abbreviation for millimeter is a small metric unit of measure that denotes length or width. El bitcoin y la moneda digital Sabía que el bitcoin no es detectable y la cantidad total de bitcoins es de 21 millones. We assume you are converting between mil and micron.
Convertir Micrón a Millas mi µ 000000000062137 Mostrar funcionamiento Mostrar resultado en formato exponencial Micrón 11000000 parte de un metro. Para convertir de mil a micras el factor de conversión utilizado es 254. 5000 Micrómetros 5 Milímetros. Al elegir entre la gama de. 1 Micrómetros 0001 Milímetros. Convert 15 mil thou to µ.
Si desea convertir mil en calibre multiplique por 100. Una micra es una unidad de medida en el sistema métrico también conocida como micrón. 1 metre is equal to 39370078740157 mil or 1000000 microns.

Hudozhestvennoe Vypilivanie Lobzikom Lobzik Chasy Ramki
Conversor Micras A Mils Pdf Longitud Unidades De Medida

Pintura De La Cara De Spider Stencil 190 Micras Lavable Reutilizable Mylar Face Painting Stencils Face Painting Unicorn Stencil

Printablestencilsz Com Desenhos De Cordel Estencil Stencil

Convertir De Pulgadas A Milimetros In A Mm Youtube

Minnie Mouse 100 Stencil Mickey Mouse Stencil Minnie Stencils

Que Son Los Micrometros Micras O Micrones Carbotecnia

Convertir De Mililitros A Metros Cubicos Ml A M Youtube

Free Bird Stencil Patterns And Designs For Your Wall Bird Stencil Silhouette Stencil Silhouette Art

Convertir De Mililitros A Metros Cubicos Ml A M Youtube

Kingfisher Stencil From The Stencil Library Budget Stencils Range Buy Stencils Online Stencil Code Ms68 Bird Stencil Animal Stencil Silhouette Stencil
Conversor Micras A Mils Pdf Longitud Unidades De Medida

Posting Komentar untuk "De Mils A Micras"